改变5个风险因素,可延长超10年健康寿命
2025年3月30日,全球心血管风险联盟(GCVRC)的研究人员在医学顶级杂志《新英格兰医学杂志》上发表研究论文。
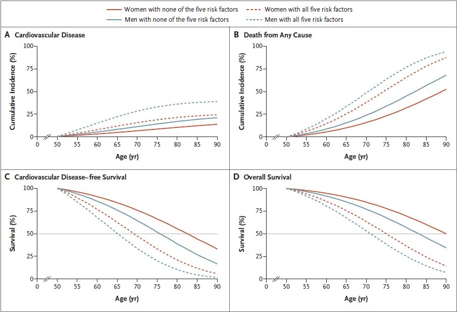
研究显示,在50岁时存在这5个风险因素的人,女性的心血管疾病终身风险为24%,男性为38%。反之,没有这5个风险因素的人患心血管疾病的风险明显较低。
此外,与存在这5个风险因素的人相比,没有这5个风险因素的的女性额外无心血管疾病的寿命为13.3年,男性为10.6年;女性额外无全因死亡的寿命为14.5年,男性为11.8年。
5个心血管疾病危险因素包括:高血压(定义为收缩压≥130 mm Hg)、血脂异常(非高密度脂蛋白胆固醇≥130 mg/dL(3.36 mmol/L))、体重异常(BMI<20或≥25)、糖尿病(通过诊断确诊为糖尿病)和吸烟(当前吸烟)。
点击图片查看原图
点击图片查看原图
点击图片查看原图