site stats
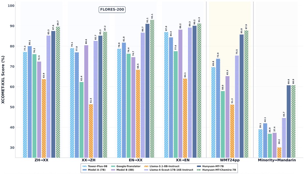
腾讯昨天开源了一个 7B 的翻译模型 Hunyuan-MT-7B支持 33 种语言和 5 中方言,感觉可以本地部署一个专门用来翻译了
发布时间:
1
数据加载中
Markdown支持
评论加载中...
您可能感兴趣的: 更多